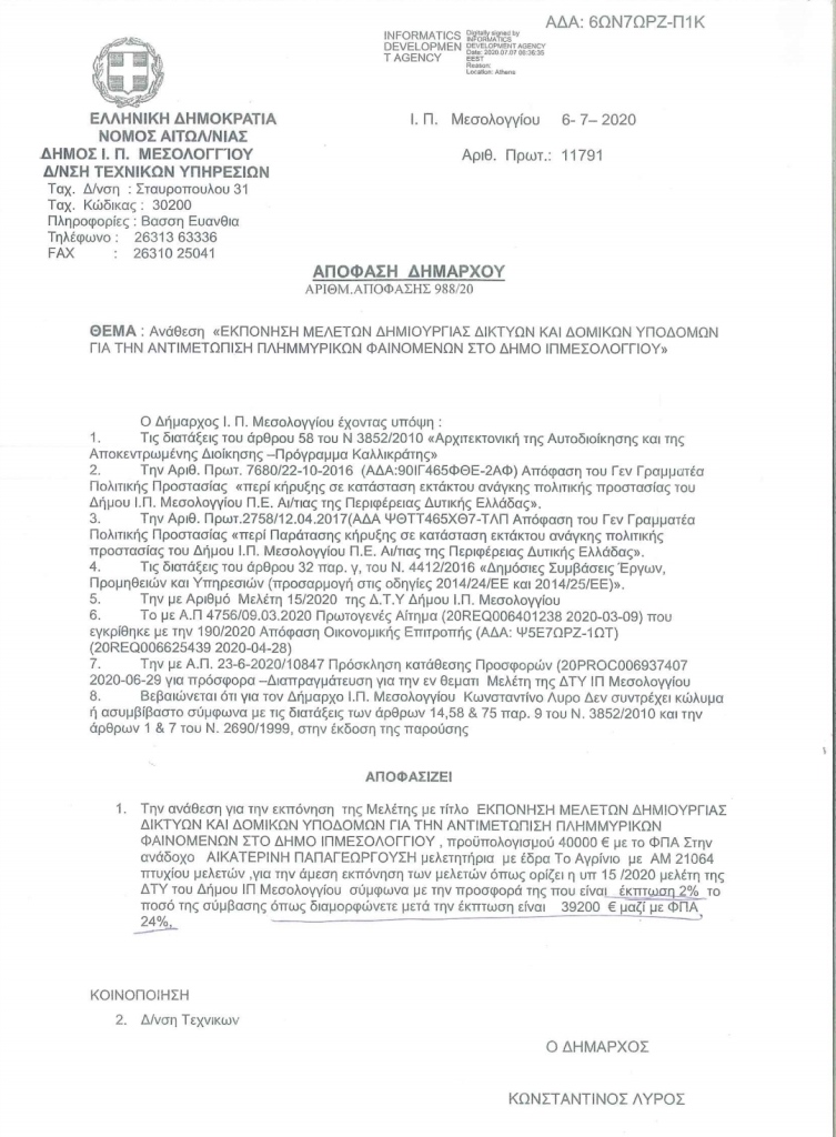
Με σχετική απόφαση του Δημάρχου Ι.Π. Μεσολογγίου κ. Κώστα Λύρου (αριθ. πρωτ. 11791/6-7-2020, ΑΔΑ 6ΩΝ7ΩΡΖ-Π1Κ) γίνεται ανάθεση για την «ΕΚΠΟΝΗΣΗ ΜΕΛΕΤΩΝ ΔΗΜΙΟΥΡΓΙΑΣ ΔΙΚΤΥΩΝ ΚΑΙ ΔΟΜΙΚΩΝ ΥΠΟΔΟΜΩΝ ΓΙΑ ΤΗΝ ΑΝΤΙΜΕΤΩΠΙΣΗ ΠΛΗΜΜΥΡΙΚΩΝ ΦΑΙΝΟΜΕΝΩΝ ΣΤΟ ΔΗΜΟ Ι.Π. ΜΕΣΟΛΟΓΓΙΟΥ» προϋπολογισμού 40.000 ευρώ με Φ.Π.Α. σε μελετήτρια από το Αγρίνιο με την διαδικασία της διαπραγμάτευσης στο αστρονομικό ποσό έκπτωσης 2%(!!!). Δηλαδή το ποσό σύμβασης που θα υπογραφεί διαμορφώνεται σε 39.200 ευρώ μαζί με Φ.Π.Α.
Το λιγότερο που μπορεί να πει κανείς, μιας και με εγκαλέσατε να ζητήσω και συγνώμη ότι δήθεν αποπροσανατολίζω τους δημότες, είναι αυτό που λέει ο λαός μας «Τα ίδια Παντελάκι μου τα ίδια Παντελή μου»…
Έξοχα κ. Δήμαρχε! Με το εξωφρενικό ποσό έκπτωσης 2% – σε τυποποιημένες μελέτες – ξεπεράσατε και τον προκάτοχό σας που ζητούσε για το θεαθήναι 3-4%.
Όλα καλά; Όλα ανθηρά; Τώρα ποιος πρέπει να ζητήσει συγνώμη για την υπερβολική σπατάλη δημοτικού χρήματος; Μας λέτε;
ΥΓ. Άλλες προσφορές στη διαπραγμάτευση, κ. Δήμαρχε, δόθηκαν, ναι ή όχι; Ή μήπως τις “κατάπιε” η πανδημία;
Πάνος Παπαδόπουλος
Δημοτικός Σύμβουλος Ι.Π. Μεσολογγίου
για τη Δημοτική Παράταξη
«ΣΥΜΜΑΧΙΑ ΓΙΑ ΤΟ ΜΕΛΛΟΝ»










